
Diseño Experimental
2024-10-17
Ejemplo con un \(NC = 97\%(0.97)\) y \(\alpha = 3\%(0.03)\)
| Tipo de análisis | Método Paramétrico | Método no Paramétrico |
|---|---|---|
| Correlación | Pearson | Spearman o Kendall |
| Comparar medias (2 grupos) | t-Student | Wilcoxon |
Si \(\bar{x}\) es la media de una muestra aleatoria de tamaño \(n\) de una población normal con varianza \(\sigma^2\) conocida, un intervalo de confianza del \((1-\alpha)100\%\) para \(\mu\) está dado por la siguiente expresión:
.png)
.png)
Si \(\bar{x}\) es la media de una muestra aleatoria de tamaño \(n\) de una población normal con varianza \(\sigma^2\) desconocida, un intervalo de confianza del \((1-\alpha)100\%\) para \(\mu\) está dado por la siguiente expresión:
.png)
Si \(\hat{p}\) es la proporción de éxitos en una muestra aleatoria de tamaño \(n\), un intervalo de confianza del \((1-\alpha)100\%\) para \(p\) está dado por la siguiente expresión:
\[\hat{p}-Z_{\alpha/2}\sqrt{\frac{\hat{p}(1-\hat{p})}{n}} < p < \hat{p}+Z_{\alpha/2}\sqrt{\frac{\hat{p}(1-\hat{p})}{n}}\]
Previamente:
Luego:
\[F = \frac{S_1^2}{S_2^2}\]
Si \(S^2_1\) y \(S^2_2\) son las varianzas muestrales de muestras aleatorias independientes de tamaño \(n_1\) y \(n_2\) de poblaciones normales, un intervalo de confianza del \((1-\alpha)100\%\) para \(\sigma^2_1/\sigma^2_2\) está dado por la siguiente expresión:

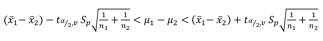
Donde: \[S_p = \frac{(n_1-1)S_1^2+(n_2-1)S_2^2}{n_1+n_2-2}\]
Donde \(t \sim t_v\), con grados de libertad \(v\):

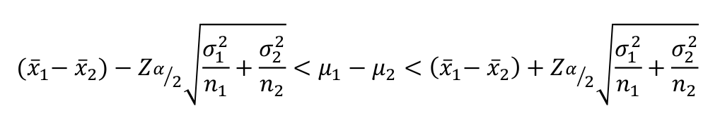
Si \(\bar{X_1}\) y \(\bar{X_2}\) son las medias muestrales de dos muestras aleatorias independientes de tamaño \(n_1\) y \(n_2\) de poblaciones normales con varianzas conocidas \(\sigma^2_1\) y \(\sigma^2_2\), respectivamente, un intervalo de confianza del \((1-\alpha)100\%\) para \(\mu_1-\mu_2\) está dado por la siguiente expresión:

Si \(\bar{X_1}\) y \(\bar{X_2}\) son las medias muestrales de dos muestras aleatorias independientes de tamaño \(n_1\) y \(n_2\) de poblaciones normales con varianzas desconocidas e iguales, un intervalo de confianza del \((1-\alpha)100\%\) para \(\mu_1-\mu_2\) está dado por la siguiente expresión:

Donde \(v = n_1 + n_2 - 2\) y \(S_p\):
\[S_p = \frac{(n_1-1)S_1^2+(n_2-1)S_2^2}{n_1+n_2-2}\]
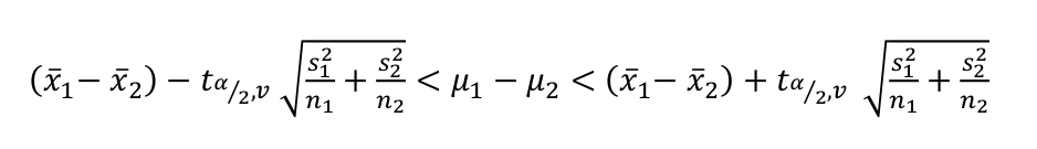
Si \(\bar{X_1}\) y \(\bar{X_2}\) son las medias muestrales de dos muestras aleatorias independientes de tamaño \(n_1\) y \(n_2\) de poblaciones normales con varianzas diferentes y desconocidas, un intervalo de confianza del \((1-\alpha)100\%\) para \(\mu_1-\mu_2\) está dado por la siguiente expresión:

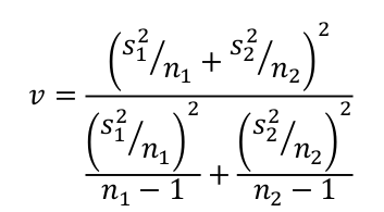
Donde \(v\):

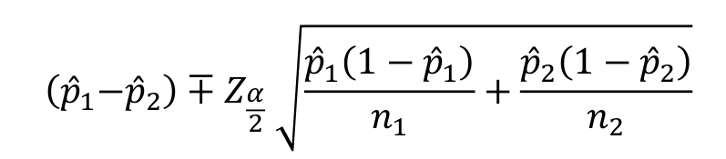
Si \(\hat{p_1}\) y \(\hat{p_2}\) son las proporciones de éxito de dos muestras aleatorias independientes de tamaño \(n_1\) y \(n_2\), entonces un intervalo del \((1-\alpha)100\%\) para \(\hat{p_1}-\hat{p_2}\) está dado por la siguiente expresión:

